Ask an Archivist
Check out a new beta version of this site
Home
Collections
Topics
Exhibits
Partners
About
Tutorials
Advanced Search
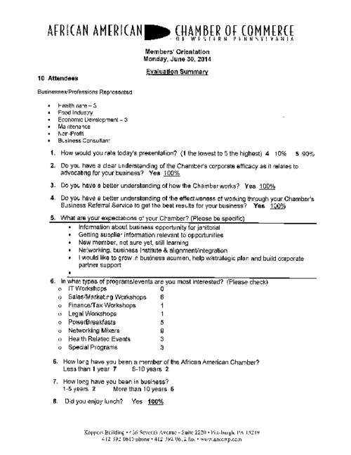
Members' Orientation-Evaluation Summary
Go to item description
Download pdf
In collections
African American Chamber of Commerce of Western Pennsylvania
Guide to the African American Chamber of Commerce of Western Pennsylvania Digital Archive AACCWP
Order Reproduction
Title
Members' Orientation-Evaluation Summary
Contributor
African American Chamber of Commerce of Western Pennsylvania (depositor)
Date
June 30, 2014
Identifier
31735047446129
Type
text
Genre
reports
Finding Aid
Guide to the African American Chamber of Commerce of Western Pennsylvania Digital Archive AACCWP
Source
African American Chamber of Commerce of Western Pennsylvania Digital Archive
Series
II. Events
Subseries
3. Business Institute
Language
eng
Collection
African American Chamber of Commerce of Western Pennsylvania
Contributor
African American Chamber of Commerce of Western Pennsylvania
Rights Information
Copyright Not Evaluated. The copyright and related rights status of this Item has not been evaluated. Please refer to the organization that has made the Item available for more information. You are free to use this Item in any way that is permitted by the copyright and related rights legislation that applies to your use.
http://rightsstatements.org/vocab/CNE/1.0/
Pinterest
Reddit
Twitter
Facebook